[Algorithm] Graph (1)

이 글은 포스텍 오은진 교수님의 CSED331 알고리즘 수업의 강의 내용과 자료를 기반으로 하고 있습니다.

3주차 두번째 알고리즘 강의 요약이다.

graph 이론에 대해서 배운다!

1. Graph란?

A graph $G=(V,E)$ consists of a nonempty set V of vertices (or nodes) and a set E of edges

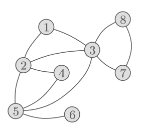
예를 들어 아래의 그림은 4개의 vertices와 5개의 edges로 이루어진 graph이다.

Graph example

Graph는 크게 undirected graphdirected graph로 나뉜다.

2. Undirected Graph란?

방향성이 없는 graph

Undirect graph example

Undirected graph에서는 어떤 노드끼리 연결되어있다는 사실 자체에 집중하지, 어떤 방향으로 연결되어 있는지는 관심이 없다.

곧, $(1,2)$건 $(2,1)$이건 똑같이 생각한다는 것이다.

3. Directed Graph란?

방향성이 있는 graph

Direct graph example

반대로 directed graph에서는 어떤 방향으로 연결되어 있는지에도 관심이 있다.

곧, $(a,c)$와 $(c,a)$는 다르다는 것이다.

4. Graph Representation

Graph를 어떻게 구현해야 할까?

크게 두가지 방법이 있다.

1. Adjacency matrix

첫 번째는 Adjacency matrix, $n\times n$ 크기의 행렬로 표현하는 방법이다.

이 Matrix를 $A_G$라고 할 때, $A_G$는 아래와 같은 값을 가진다.

$A_G=[a_{ij}],\, where\; a_{ij}=\left\lbrace\begin{matrix} 1& if\, \lbrace v_i, v_j \rbrace \ is\, an\, edge\, of\, G\\ 0 &otherwise \end{matrix}\right.$

Adjacency matrix example

위처럼, edge $\lbrace i,j\rbrace$가 있다면 1, 그렇지 않다면 0으로 표시한다.

이 방법의 장점은 $(u,v) \in E\; or\; not$ 을 상수시간($O(1)$)에 결정할 수 있다는 점이다.

그러나, edge의 유무에 관계없이 $O(n^2)$의 matrix space를 유지하고 있어야 하기 때문에 공간적 효율성이 떨어진다는 단점이 있다.

2. Adjacency list

두 번째는 Adjacency list, 각 vertice에 대해, 각각과 연결되어 있는 vertices를 linked list로 표현하는 방법이다.

Adjacency list example

이 방법의 장점은 필요없는 edge에 대해서는 저장할 필요가 없기 때문에 $O(\left\lvert V \right\rvert + \left\lvert E \right\rvert)$라는 좋은 공간적 효율성을 보여준다는 것이다.

그러나, $(u,v) \in E\; or\; not$ 를 결정하기 위해서 list를 탐색해야 하므로, 상수 시간이 아닌 $O(min\lbrace deg(u),deg(v)\rbrace )$ 만큼 걸린다는 단점이 있다.

3. Connectivity

1. Path

A path of a graph $G=(V,E)$ is a sequence of nodes, for example $v_1, v_2, \cdots, v_3$

2. Cycle

A cycle is a path which begins and ends at the same node

$v_1$ $, v_2, \cdots,$ $v_1$ 처럼 처음으로 돌아오는 path를 의미한다.

3. Connectedness

만약 어떤 pair of node에 대해서도 path가 존재한다면, 해당 그래프는 connected 되었다고 부른다.

반대로 path가 없는 pair가 존재한다면 disconnected 되었다고 부른다.

Connected component

A connected component of a graph G is the maximal connected subgraph of G

maximal이라는 말이 헷갈릴 수 있는데, 다른 말로 하자면 다른 connected subgraph의 subgraph가 아닌 것을 말한다.

Connected component example

예를 들어, 여기서 connected subgraph는 $b, a, c$ 점 각각도 될 수 있는데, 이 점들은 $H_1$의 subgraph이므로(=maximal이 아니므로) connected component가 아니다.

따라서 위 그림에서 connected components는 $H_1, H_2, H_3$ 가 된다.

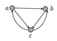
Strong & weak connected

Strong weak connected

Strong이란 양방향으로 path가 존재하는 것을 말한다.

반대로 weak란 최소 한방향으로 path가 존재하는 것을 말한다.

Strong weak connected example

예를 들어, G는 모든 pair of nodes에 대해 양방향으로 path가 존재하므로 strongly connected이다.

반면 H는 $a \rightarrow b$ 로 가는 path가 없으므로 strongly connected는 아니지만, 모든 pair of nodes에 대해 최소 한방향으로는 path가 존재하므로 weakly connected이다.

그리고 H에서 $node\;a$, $node\;b$, $subgraph\;of\;the\;vertices\;b,c,d\;and\;edges\;(b,c), (c,d),\;and\;(d,b)$, 이 세개가 strongly connected components이다.

4. Tree

A tree is an undirected graph that is connected and acyclic

Tree는 undirected graph의 특수한 형태이다.

Tree를 connected & acyclic 이라고 기억하기 보다는, 아래의 3개의 조건 중 2가지를 만족하는 undirected graph라고 기억하는게 좋다.

(a) G is connected

(b) G does not contain a cycle

(c) G has n-1 edges

사실 3개 중 2개만 만족해도 나머지 하나를 만족하는데, 이걸 증명하는게 시험으로 나온 적이 있었다.

한번쯤은 증명해보자 ㅎㅎ

이제 Tree에 대한 property 하나만 증명해보고 넘어가자.

Property. An undirected graph is a tree iff there is a unique simple path between any pair of nodes

  1. $\Leftarrow$

    모든 pair of nodes에 대해 path가 있다 $\rightarrow$ connected graph

    path가 unique하다 $\rightarrow$ acyclic graph

    $\therefore$ graph는 tree이다.

  2. $\Rightarrow$

    Proof by contradiction:

    Path가 두 개 이상 존재하거나, simple하지 않으면 해당 path들이 cycle을 이루므로 가정에 모순이다. ( $\because$ Tree is an acyclic graph)

6. Depth-First Search(DFS)

DFS는 깊이를 우선적으로 탐색하는, 즉 한 방향만 우직하게 가보는 탐색법이다.

핵심은 아래와 같다.

  • 한번 방문한 node는 다시 방문하지 않는다

  • 자식을 찾으면 곧장 explore 한다 (깊이 우선 탐색)

이를 수도코드로 쓰면 아래와 같다.

procedure reachable

procedure explore

예를 들어보자.

아래의 graph의 1번 node에서 DFS를 한다고 하자.

DFS example

그러면 아래와 같이 탐색하게 될 것이다.

DFS solution

Proving correctness of a DFS

이제 그럼 DFS의 알고리즘이 과연 올바른지 증명을 해보자.

Q. Does it find all vertices reachable from v?

Proof by contradiction:

Proof 1

가정: uv로부터 reachable하지만 explore()u를 잡아내지 못한다

Reachable하다는 말은 v에서 u로 가는 path가 존재한다는 것이고, 이 path를 $\pi$라고 하자.

그리고 이 $\pi$에서 explore()가 마지막으로 방문한 node를 z라고 하자.

그리고 이 z의 자식 중 $\pi$ 위에 있는 node를 w라고 하자.

그러면 당연하게도 procedure은 w를 언젠간 방문할 것이다.

위 과정을 계속 반복하면 결국에는 u에 도달할 수 있을 것이고, 이는 가정에 모순이다.

$\therefore$ DFS는 모든 reachable한 node들을 찾아낸다.

Q. Are all the returned vertices reachable from v?

DFS 과정을 역으로 거슬러올라가보면 결국에는 v에 도달하므로 당연히 v로부터 reachable하다.

Running time of reachable

모든 node들을 방문하므로 우선 $O(\left\lvert V \right\rvert)$ 이고,

각각의 edge $(u,v)\in E$ 를 explore(u), explore(v) 에서 각각 탐색하므로, $O(2 \left\lvert E \right\rvert)$이다.

따라서 합치면 $O(\left\lvert V \right\rvert + \left\lvert E \right\rvert)$가 된다.