[Algorithm] Graph (2)

이 글은 포스텍 오은진 교수님의 CSED331 알고리즘 수업의 강의 내용과 자료를 기반으로 하고 있습니다.

알고리즘 4주차 강의 요약이다.

알고리즘이 제일 글 쓰기 쉬운 것 같다.

전달하고자 하는 주제가 참 명확해서 좋다.

그와 별개로 과제의 난이도는… 이걸 푸는 학생들에게 경외감을 가지게 만드는 수준이다.

알골 랩은 아닌 것 같다… ㅠㅠ

1. DFS on Directed Graphs

이제 열심히 배운 DFS를 directed graph에서 해보자.

그런데 그냥 하는게 아니라, 좀 더 그 결과를 분석할 수 있도록 여러가지 용어와 개념을 정의해보자.

1. previsit and postvisit

가장 먼저 previsit과 postvisit 이라는 개념을 정의해야한다.

Previsit이란 어떤 node를 처음 방문하는 이벤트를 의미한다.

반대로 postvisit이란 어떤 node를 최종적으로 떠나는 이벤트를 의미한다.

당연하게도 방문하는 모든 node들에 대해 previsit과 postvisit 이벤트 둘 다 일어날 것이다.

이제 각각의 이벤트에 숫자를 붙여 이벤트 발생 순서를 명시해보자.

Pre post code

숫자를 부여하는 방법은 간단하다.

clock을 1로 초기화 한 다음, 처음 방문하는 경우 previsit(v)를, 최종적으로 떠나는 경우 postvisit(v)를 호출해주면 된다.

Previsit postvisit이란?

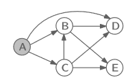
예를 들어 왼쪽 그래프의 A node에서 DFS를 시작한다면 우측과 같이 pre-postvisit number가 부여되게 된다.

한 가지 주의할 점은 pre-postvisit number는 상대적인 숫자라는 점이다.

DFS를 어느 지점에서 시작하느냐에 따라 그 값이 달라질 수 있다.

중요한 것은 상대적인 크기이지, 절대 값이 아님을 명심하자.

2. Terminology for edges

그럼 이 pre-postvisit number가 어떻게 쓰일까?

잘 생각해보면 previsit 값이 더 크다는 말은 나중에 방문한다는 얘기이고, postvisit 값이 더 크다는 말은 나중에 떠난다는 얘기이므로,

두 노드의 pre-postvisit number의 관계를 통해 두 노드를 잇는 edge의 성질을 정의할 수 있음을 알 수 있다.

이걸 종합해서 새로운 개념들을 정의해보자.

Order of pre post

$(u,v)$가 있다고 하자.

만약 $u$보다 $v$를 나중에 방문하며 $(u_{pre}<v_{pre})$, $v$보다 $u$를 나중에 떠난다면 $(v_{post}<u_{post})$ tree/forward edge라고 부른다.

만약 $u$보다 $v$를 먼저 방문하며, $(v_{pre}<u_{pre})$, $v$보다 $u$를 먼저 떠난다면 $(u_{post}<v_{post})$ back edge라고 부른다.

만약 $u$보다 $v$를 먼저 방문하며, $(u_{pre}<v_{pre})$, $v$보다 $u$를 나중에 떠난다면 $(v_{post}<u_{post})$ back edge라고 부른다.

Tree

사실 저렇게 글로 적어놓으면 상당히 이해하기 어렵다.

간단히 DFS의 정방향 edge라면 tree/forward, 역방향 edge라면 back, 횡방향 edge하면 cross라고 이해하면 된다.

3. back edge and cycle

이제 이 terminologies와 관련된 property를 알아보자!

A directed graph has a cycle if and only if its depth-frst search reveals a back edge.

생각해보면 굉장히 당연한데, 한 번 증명해보자.

한 쪽은 꽤 자명하다.

back edge $(u,v)$가 있다는 말은 $v$에서 $u$로 가는 path + $(u,v)$를 하면 cycle이 생기므로 성립한다.

그런데 다른 한 쪽은 살짝 증명법이 생각이 안 날 수도 있다. 근데 알고보면 굉장히 당연하다.

cycle $v_0, v_1, v_2, \cdots, v_k, v_0$가 있을 때, DFS가 이 cycle에서 처음으로 방문하는 node를 $v_i$라고 하자.

$v_i$로부터 모든 cycle의 node들이 방문 가능하므로, DFS는 언젠간 $v_{i-1}$을 방문하게 될 것이고, 곧 back edge $(v_{i-1},v_i)$를 찾게 될 것이다. 따라서 성립한다.

저번 과제에 이거랑 살짝 다르게 acycle iff no back edge를 증명하는게 나왔었는데, 한 번쯤 증명 해보는 걸 추천한다.

2. DAG

뜬금없이 cycle은 왜 배웠는가.. 사실 DAG를 설명하기 위한 빌드업이었다.

DAG란

DAG, directed acyclic graph란 말 그대로 cycle이 없는 directed graph이다.

이 DAG의 아주 중요한 특성은 linearize (or topologically sort)가 가능하다는 것이다.

Linearize란, 한 쪽 방향의 edge만 존재하도록 노드들을 정렬하는 것을 말한다.

Origin

예를 들어, 이 그래프를 linearize 하면

After

이와 같은 형태가 된다.

이런 식으로 graph를 변형해놓으면 edge가 한쪽 방향으로만 쏠려서 여러 제약 문제를 풀 때 굉장히 유용하다.

예를 들어 인공지능 탐색을 할 때 우측에서 좌측으로만 contraint propagation을 하면 된다던가, scheduling을 할 때 우측부터 하나씩 할당하면 된다던가…

여튼 그럼 이 linearize를 어떻게 만들 수 있을까?

총 두 가지 방법이 있다.

1. Using DFS

첫 번째로는 DFS를 이용하는 것이다.

DAG를 잘 살펴보면, 아래의 property를 만족한다는 걸 알 수 있다.

In a dag, every edge leads to a vertex with a lower post number.

자, 여기서 post number는 DFS에서 떠나는 순서를 의미한다.

그러면 DFS를 활용해서 DAG를 구할 수 있지 않을까?

맞다. DFS를 돌려서 먼저 떠나는 것 부터 우측에서 좌측으로 정렬하면 DAG가 만들어진다.

Code1

실제 구현은 stack을 이용해서 한다.

먼저 떠나는 순서대로 stack에 push하고, DFS가 끝나면 stack에서 pop 한 순서대로 좌측에서 우측으로 정렬하면 DAG가 완성된다.

간단한 코드니, 읽어보고 제대로 이해해두는 것을 강력히 권장한다.

그럼 이 linearize의 time compexity는 얼마일까?

그냥 DFS하면 구해지므로, 심플하게 linear time이다.

2. Using source, sink node

두 번째 방법은 source, sink를 활용하는 것이다.

Source node는 들어오는 edge가 없는 node를 말하고

Sink node는 나가는 edge가 없는 node를 말한다.

DAG를 잘 살펴보면 가장 post number가 작은 node는 sink이고, 가장 큰 node는 source임을 알 수 있다.

증명은 간단하다.

만약 highest post number node $v$가 source가 아니라고 해보자.

그러면 해당 node로 들어오는 어떤 edge $(u,v)$가 존재할 것이고, 그러면 $u$가 $v$보다 더 큰 post number를 가지므로 모순이므로 $v$는 source이다.

Sink도 동일한 방식으로 증명된다.

여튼, source-sink를 이용해서 DAG를 만드는 방법은 아래와 같다.

  1. Find a source, output it, and delete it from the graph.
  2. Repeat until the graph is empty.

이 접근법을 잘 기억해두자.

3번의 핵심 접근법이다.

3. Connectivity in Directed Graphs

지난 시간에 배웠던 strongly connected component를 생각해보자.

Directed graph는 이와 관련된 재밌는 property가 하나 있다.

Every directed graph is a dag of its strongly connected components

예를 들어 이런 것이다.

DAG_STR

이 Property가 가지는 의미는 DAG의 개념을 일반화 했다는 것이다.

이런 관점에서 우리가 2번에서 배운 건 모든 node가 각각 strongly connected component인 특수 케이스라 할 수 있다.

이제 어떻게 만드는지 배울 시간이다.

그런데 생각보다 꽤 막막할 것이다.

Cycle이 존재하므로 무작정 DFS를 돌릴 수도 없는 데다가, 어떻게 component를 분리해내야 할지 생각도 안 날 것이다.

관련된 properties를 하나씩 천천히 알아보며 빌드업해보자.

If the explore subroutine is started at node $u$, then it will terminate precisely when all nodes reachable from u have been visited

Property 자체는 심플하고 자명하다.

중요한 점은, 만약 sink strongly connected component의 node에서 DFS를 돌리면, 위 property에 의해 정확히 sink component만 찾고 DFS가 끝난다는 점이다.

이 아이디어를 적용하여 DAG를 찾는 알고리즘을 만들어보면 아래와 같을 것이다.

  1. sink component를 찾는다
  2. 이를 원래 graph에서 지운다.
  3. Graph가 빌 때 까지 1,2 를 반복한다

그러면 근데 sink strongly connected component를 어떻게 찾아야 할까?

Direct하게 찾는 방법은 생각보다 어렵다.

The node that receives the highest post number in a depth-first search must lie in a source strongly connected component

여기서 property 2가 등장한다.

이걸 어떻게 이용해야 할까?

Reversed graph $G^R$를 생각해보자

$G^R$에서 source strongly connected component를 찾으면, 이건 $G$의 sink strongly connected component가 된다는 놀라운 사실을 알 수 있다.

이때 property 2에 의해 $G^R$의 highest post number node는 source strongly connected component에 속하므로,

$G^R$에서 DFS를 돌려 highest post number node를 구하고, 이 노드를 starting point 삼아 $G$에서 DFS를 돌리면 sink strongly connected component를 구할 수 있다!

자 그럼 하나 구하고 나서 어떻게 반복해야 할까?

If $C$ and $C_1$ are strongly connected components, and there is an edge from a node in $C$ to a node in $C_1$, then the highest post number in C is bigger than the highest post number in $C_1$

여기서 property 3이 등장한다.

Property 3를 이용하면, 위에서 구한 source strongly connected component를 $G^R$에서 지우고 남은 graph의 highest post number node는, 지운 component와 연결된 component에 존재한다는 것을 알 수 있다.

따라서, dag of its strongly connected components를 만드는 알고리즘은 다음과 같다.

  1. $G^R$을 만든다
  2. $G^R$에 대해 DFS를 돌려 node들을 post number로 정렬한다.
  3. Higest post number node를 starting point로 잡아 $G$에서 DFS를 돌려 sink strongly connected component를 찾는다.
  4. 3번에서 구한 sink strongly connected component를 $G$에서 지운다.
  5. 3-4번을 graph가 빌 때까지 반복한다.

시간 복잡도를 구해보자.

1번과 2번 과정은 당연히 linear하다.

3-4번을 반복하는 건, $\sum{\left\lvert SCC \right\rvert} = O(\left\lvert V \right\rvert+\left\lvert E \right\rvert)$ 이므로 linear하다.

따라서 전체 시간 복잡도는 linear이다!

  1. https://upcount.tistory.com/91