[Algorithm] Greedy Algorithms (1)

이 글은 포스텍 오은진 교수님의 CSED331 알고리즘 수업의 강의 내용과 자료를 기반으로 하고 있습니다.

알고리즘 5주차 강의 요약이다.

5주차라고는 했지만, 실제로는 6주차 수업에 가깝다.

1. Greedy Algorithms

Greedy algorithm, 소위 욕심쟁이 알고리즘은 매 선택 시, 지금 이 순간 당장 최적인 답을 고르는 알고리즘을 말한다.

굉장히 단순하고 직관적이어서 구현하기가 무척 쉽다는 장점이 있지만, 쉬운만큼 그닥 유용하지는 않다.

항상 매 순간 최적의 해를 고른다고 해서 그게 최종적으로 최적일 가능성은 별로 없기 때문이다.

다만 지금 선택이 다음 선택에는 전혀 무관한 값이고, 매 순간의 최적해가 문제에 대한 최적해가 되는 경우라면 유용하다고 할 수 있겠다.

2. Minimum Spanning Tree

Greedy algorithm을 설명하기 위해 Minimum Spanning Tree 문제를 풀어보자.

Minimum Spanning Tree가장 적은 비용으로 모든 노드들을 연결하는 트리를 의미한다.

MINI

예를 들어 좌측 그래프의 minimum spanning tree는 우측과 같다.

Formula

다시말해 Minimum Spanning Tree Problem이란, 주어진 Graph의 모든 노드들을 포함하면서 edge weight의 합을 최소화시키는 트리를 찾는 문제이다.

Kruskal’s algorithm

아주 기쁘게도, 이 문제는 greedy algorithm으로 풀 수 있는 몇 안되는 문제 중 하나이다.

다만 무작정 weight가 가장 작은 edge를 고르는 게 아니다!

트리-connected acyclic graph를 찾는 것인 만큼 cycle을 형성하지 않으면서 weight가 가장 작은 edge를 고르는 것이 핵심이다.

이런 접근법을 Kruskal’s algorithm이라고 한다.

이해를 위해 가볍게 예제를 하나 풀어보자.

1

이 graph의 minimum spanning tree를 Kruskal’s algorithm으로 풀 것이다.

2

우선 가장 작은 edge는 $B-C$ 이므로 이걸 선택했다.

3

그 다음으로 작은 건 $C-D$와 $B-D$인데, 이 중 $C-D$를 선택했다.

여기서 알 수 있듯이, 만들어진 minimum spanning tree는 유일하지 않다.

여러 개의 선택지 중 어떤 것을 고르냐에 따라 답이 달라질 수 있음에 유념하자.

4

가장 작은 건 $B-D$ 이지만, 이 경우 cycle을 형성하므로 배제한다.

그 대신 그 다음으로 작은 $C-F$를 선택했다.

5

4를 가진 edge가 $A-D$, $D-F$, $E-F$ 가 있는데 $D-F$는 cycle을 형성하므로 배제하고, 둘 중 $A-D$를 선택했다.

6

마지막으로 $E-F$를 선택했고, 최종 solution을 얻었다.

이처럼 아주 간단하기 그지 없지만, correctness에 대한 증명은 조금 까다롭다.

Cut property

증명을 위해서는 Cut property를 알아야 한다.

Cut

Cut이라는 건 Vertices를 2개의 set으로 나누는 partition을 의미한다.

또한 crossing edge란 이 나눠진 set을 가로지는 edge를 의미한다.

이때, 임의의 cut에 대해서 minimum weight의 crossing edge는 항상 MST에 속한다는 것이 cut property이다.

왜 이게 성립하는지 증명해보자.

우리가 보여야 할 것은 minimum weight crossing edge를 선택해서 만든 tree가 MST라는 것이다.

Proof of cut property

Cut property 증명

어떤 MST $T$가 존재한다고 해보자.

이때, $T$의 일부분을 $X$라고 하자.

$X$는 모든 vertice를 연결하진 않았으므로, 전체 $V$를 $X$가 가로지르지 않는 두 영역 $S$와 $V-S$으로 나눌 수 있다.

여기서 minimum weighted crossing edge를 $e$라고 하자.

만약 $e$가 $T$의 일부라면 증명은 끝난다.

반대로 $e$가 $T$의 일부가 아닌 상황을 고려해보자.

우리가 보일 것은 $e$를 포함해서 만든 새로운 tree $T^{′}$이 MST라는 것이다.

원래 $T$가 $e$ 대신 $e^{′}$을 포함한다고 해보자.

새로운 Tree $T^{′}$을 만들기 위해, $T$에서 $e^{′}$을 제거하고 $e$를 더해보자. $(T^{′}=T\cup \lbrace e \rbrace-\lbrace e^{′}\rbrace)$

$T^{′}$이 MST임을 증명해보자.

$T^{′}$의 weight는 $weight(T^{′})=weight(T)+w(e)-w(e^{′})$이다.

이때 $w(e)\leq w(e^{′})$이므로, $weight(T^{′})\leq weight(T)$가 된다.

따라서 $T^{′}$ 또한 MST가 된다.

아래는 cut property의 증명의 핵심을 담고있는 그림이다.

증명을 이해했으면 그림이 무슨 소리를 하는지 이해하는데 지장이 없을 것이라 생각한다.

Example

Apply cut property to Kruskal’s algorithm

우리가 위에서 실컷 증명한 cut property와 크루스칼 알고리즘이 무슨 관계일까?

잘 생각해보면, cut property가 크루스칼 알고리즘 그 자체라는 걸 알 수 있다.

크루스칼 알고리즘은 매번 cycle을 형성하지 않는 minimum weight edge를 선택하는데, 이 edge는 사실 crossing edge다.

그리고 이 crossing edge가 잇는 두 집합이 $S$와 $V-S$인 것이다.

약간 와닿지 않을 수도 있는데, 예시를 보자.

7

우리가 위에서 풀었던 예제를 cut property의 개념을 적용해서 보자.

그러면 이렇게 두 집합 $\lbrace A,E\rbrace$와 $\lbrace B,C,D,F\rbrace$로 나눌 수 있다.

8

여기서 우리가 선택한 A-D는 사실 $\lbrace A,E\rbrace$와 $\lbrace B,C,D,F\rbrace$를 잇는 crossing edge라고 볼 수 있는 것이다.

3. Union-Find

크루스칼 알고리즘을 제대로 이해했다면, 이 질문이 떠올라야 한다.

Cycle을 형성하는지 어떻게 판단하지??

다시 말해, 어떤 edge $(u, v)$를 고를 때 다른 component에서 $u$와 $v$를 골라야 하며, 고르고 난 후 두 component는 합쳐져야 한다는 것이다.

이런 기능을 지원하는 자료구조가 Union-Find 이다.

Union-Find의 핵심은 여러 개의 노드가 존재할 때 두 개의 노드를 선택해서 현재 이 노드가 서로 같은 집합에 속하는지를 판별하는 것이다.

이를 위해 총 3가지의 기능을 지원한다.

  • makeset(x): create a singleton set containing just x
  • find(x): to which set does x belong?
  • union(x,y): merge the two sets containing x and y

크루스칼 알고리즘은 이 3가지 기능을 적절히 활용하여 구현된다.

Code

find(u)!=find(v)를 통해 cycle을 형성하는지 판단하고,

cycle을 형성하지 않는다면 union(u,v)를 통해 두 componenet를 합치고 있다.

Implementation of Union-Find

구현의 핵심은 각 set을 directed tree로 간주하는 것이다.

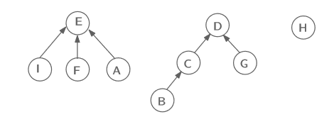
예를 들어 아래의 set이 있다고 해보자.

Set

이 Set을 이렇게 Tree로써 생각하는 것이다.

Tree

왜 이렇게 해야할까?

다른 set에 속해있는지 판단하는 방법 중 가장 간단한 것은 아마 배열을 순회하는 방식일 것이다.

그런데 이건 너무 느리다.

애초에 같은 set에 속해있는지 판단하는데 전체를 순회할 필요조차 없다.

잘 생각해보면, 어떤 set의 대표값을 세우고, 이 대표값만 비교하면 된다는 걸 알 수 있다.

이 아이디어가 바로 Tree로 생각하는 아이디어이다.

대표값을 root로 두고, 이 set에 속한 다른 값들은 node로 표현하는 것이다.

그러면 $x,y$가 같은 set에 있는지 판단하기 위해서는 각각이 소속된 tree를 거슬러 올라가서 root를 얻어내고 이를 비교해보기만 하면 된다는 결론에 이른다.

이제 아이디어를 캐치했으니, 알고리즘을 자세하게 알아보자.

Make

  • $\pi (x)$: pointer to its parent.
  • $rank(x)$: height of the subtree haning from $x$.

makeset(x)은 단순하다.

$x$를 root로 가지는 tree를 하나 만든 것이다.

이때 기억해야 할 점은 root의 parent를 root로 둔 것이다.

Find

find(x)도 단순하다.

root에 도달할 때까지 tree를 거슬러올라가서, 찾으면 root를 반환한다.

이때 root인지 판단하기 위해 parent가 자기 자신인지 체크하고 있다는 것만 기억하면 된다.

Union

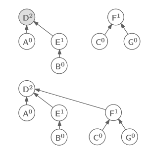
union(x,y)는 조금 생각해볼 점이 있다.

두 개의 tree를 합칠 때, 어떻게 합쳐야 find(x)에 걸리는 시간을 최소화 할 수 있을까?

다시 말해, 어떻게 합쳐야 전체 tree의 height를 최소화 할 수 있을까?

간단하다. height가 작은 tree을 height가 큰 tree의 root의 자식으로 편입시키면 된다.

ex

이런 식으로 말이다.

코드는 이 알고리즘을 표현한 것에 불과하다. 한 번 슥 읽어보면 이해가 갈 것이다.

아래는 예시이다. 위 과정을 잘 이해했으면 별 문제없이 이해할 수 있을 것이다.

Exmplae2

Properties of Union-Find

Union-Find에는 5가지 중요한 성질이 있다.

하나하나 알아보자.

For any non-root node x, $rank(x)<rank(\pi (x))$

굉장히 자명하다. 당연히 부모 노드의 rank가 더 크다.

For a root $x$, $rank(x)$ is the height of the tree containing $x$

1번 property에 의한 당연한 귀결이다.

If $x$ is not a root, $rank(x)$ will never change again

union(x,y)는 root에 곧바로 tree를 이어붙이니, 다른 자식 노드들에게는 영향이 없기 때문이다.

Any root node of rank $k$ has at least $2^k$ nodes in its tree

이건 최소 binary tree가 되어야 성립할 말이지 않나 라는 의문이 들 수 있다.

근데 우리가 만드는 트리는 높이가 더 낮은 트리를 더 높은 트리의 root에 병합시키는 조금 독특한 트리임을 잊으면 안 된다.

한 번 곰곰히 생각해보면, 왜 이 property가 성립하는지 감을 잡을 수 있을 것이다.

당연히 직관과는 별개로 증명이 존재한다.

Induction으로 증명해보자

  • Basis: $k=0$ 에서 성립함.
  • Induction Step:

    $k-1$에서 성립한다고 가정.

    Node $x$ of rank $k$는 rank $k-1$짜리 두개를 합쳐야 만들어질 수 있다.

    이때 각각은 $\geq 2^{k-1}$ nodes를 가지므로, $x$는 $\geq 2\cdot 2^{k-2}=2^k$개의 nodes를 가진다.

If there are $n$ elements overall, there can be at most $n/2^k$ nodes of the rank $k$

→ the max rank is $log n$, so the tree height $\leq logn$

4번 property로 부터 유도되는 property 이다

중요한 것은 두 번째 문장이다.

Height가 $\leq logn$이라는 말은, find(x)union(x,y)의 시간 복잡도가 $O(logn)$이라는 말이 되기 때문이다.

Time complexity of Kruskal’s algorithm

위 사실로부터 전체 시긴 복잡도를 구해보자.

처음에 전제 edge를 weight로 정렬하는데 $O(\left\lvert E \right\rvert log\left\lvert E \right\rvert) \approx O(\left\lvert E \right\rvert log\left\lvert V \right\rvert)$.

이후에 본격적으로 알고리즘을 돌리면, 최악의 경우 총 $\left\lvert E \right\rvert$ 번 실행될 것이며 find(x)union(x,y)는 $O(log\left\lvert V \right\rvert)$ 만큼 걸리므로 총 $O(\left\lvert E \right\rvert log\left\lvert V \right\rvert)$.

따라서 토탈 $O(\left\lvert E \right\rvert log\left\lvert V \right\rvert)$이 된다.